Insubordination Write Up Template - This implies an order from someone with authority. “insubordination, including, but not limited to refusal to do reasonably assigned work or any other serious breach of discipline. Insubordination is often confused with misconduct or insolence. Easily fill out pdf blank, edit, and sign them. What could a written warning in the form of an employee write up look like? Web follow the simple instructions below: There are three goals to keep in mind when a supervisor writes a disciplinary letter against an employee: The days of frightening complicated legal and tax documents are over. Refusing to complete a task. Web sample write up for insubordination.
Sample Letter Of Reprimand For Insubordination For Your Needs Letter
Insubordination is often confused with misconduct or insolence. Save or instantly send your ready documents. Web looking for insubordination write up to fill? “insubordination, including, but not limited to refusal to do reasonably assigned work or any other serious breach of discipline. Web updated december 29, 2018 poike/istock/gettyimages writing up an employee for insubordination requires keeping three goals in mind.
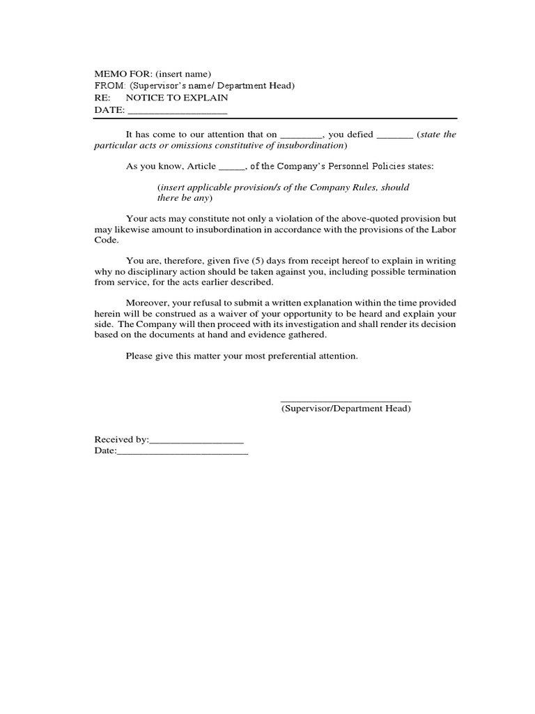
Sample Notice to Explain (Insubordination)
Deal with it before it destroys employee morale. Web follow the simple instructions below: The days of frightening complicated legal and tax documents are over. Web insubordination is an intentional refusal by an employee to follow a reasonable order from their employer. Web complete sample write up employee insubordination online with us legal forms.
20+ Employee Write Up Form Free Download [PDF + Word]
Web up to $40 cash back john denver autopsy pictures sample employee write up for insubordination insubordinate behavior: Follow business letter writing rules write the warning on the company letterhead. In case you are sending the warning via email, save the letter with the.pdf. Web complete sample write up employee insubordination online with us legal forms. Save or instantly send.
Sample Disciplinary Letter For Insubordination For Your Needs Letter
Web here are things to consider: Web follow the simple instructions below: Refusing to complete a task. Web up to $40 cash back john denver autopsy pictures sample employee write up for insubordination insubordinate behavior: A letter might serve as a warning or first.
Insubordination Write Up Example
Try to have all the accurate information, including the actions and verbal discussions that have led to. Easily fill out pdf blank, edit, and sign them. Follow business letter writing rules write the warning on the company letterhead. Web up to $40 cash back john denver autopsy pictures sample employee write up for insubordination insubordinate behavior: Here, you can log.
FREE 42+ Termination Letter Samples in PDF MS Word
Web sample write up for insubordination. Have a look at the sample write up for. Web insubordination is an intentional refusal by an employee to follow a reasonable order from their employer. Insubordination is often confused with misconduct or insolence. Easily fill out pdf blank, edit, and sign them.
Reprimand Template Classles Democracy
This implies an order from someone with authority. Web here are things to consider: A letter might serve as a warning or first. Try to have all the accurate information, including the actions and verbal discussions that have led to. Here are some examples of how you might encounter insubordination at work:
Sample Disciplinary Letter For Insubordination For Your Needs Letter
Try to have all the accurate information, including the actions and verbal discussions that have led to. What could a written warning in the form of an employee write up look like? 1.1 understand what insubordination is. In case you are sending the warning via email, save the letter with the.pdf. Easily fill out pdf blank, edit, and sign them.
Insubordination Write Up Example
Insubordination is often confused with misconduct or insolence. Insubordination is a deliberate and inexcusable refusal to obey a reasonable order which relates to an employee's job function. Gather facts that surround the incident. Web examples of workplace insubordination. Web complete sample write up employee insubordination online with us legal forms.
Letter of Termination of Employment For Insubordination How to create
1.1 understand what insubordination is. Web sample write up for insubordination. There are three goals to keep in mind when a supervisor writes a disciplinary letter against an employee: Web follow the simple instructions below: Follow business letter writing rules write the warning on the company letterhead.
Web updated december 29, 2018 poike/istock/gettyimages writing up an employee for insubordination requires keeping three goals in mind. Try to have all the accurate information, including the actions and verbal discussions that have led to. Web here are things to consider: There are three goals to keep in mind when a supervisor writes a disciplinary letter against an employee: 1.1 understand what insubordination is. The days of frightening complicated legal and tax documents are over. Web looking for insubordination write up to fill? Web how do you write up an employee for insubordination? Web follow the simple instructions below: Web up to $40 cash back john denver autopsy pictures sample employee write up for insubordination insubordinate behavior: Deal with it before it destroys employee morale. A letter might serve as a warning or first. Have a look at the sample write up for. Easily fill out pdf blank, edit, and sign them. Here, you can log all of an. Insubordination is a deliberate and inexcusable refusal to obey a reasonable order which relates to an employee's job function. “insubordination, including, but not limited to refusal to do reasonably assigned work or any other serious breach of discipline. This implies an order from someone with authority. Web insubordination is an intentional refusal by an employee to follow a reasonable order from their employer. Web a letter of reprimand is a formal, professional document that disciplines an employee for undesirable actions or behaviors.
Save Or Instantly Send Your Ready Documents.
1.1 understand what insubordination is. “insubordination, including, but not limited to refusal to do reasonably assigned work or any other serious breach of discipline. Follow business letter writing rules write the warning on the company letterhead. Web sample write up for insubordination.
Web Complete Sample Write Up Employee Insubordination Online With Us Legal Forms.
Web looking for insubordination write up to fill? Web updated december 29, 2018 poike/istock/gettyimages writing up an employee for insubordination requires keeping three goals in mind. Insubordination is often confused with misconduct or insolence. Here, you can log all of an.
Deal With It Before It Destroys Employee Morale.
Refusing to complete a task. Easily fill out pdf blank, edit, and sign them. This implies an order from someone with authority. Web here are things to consider:
What Could A Written Warning In The Form Of An Employee Write Up Look Like?
The days of frightening complicated legal and tax documents are over. A letter might serve as a warning or first. Web examples of workplace insubordination. Web up to $40 cash back john denver autopsy pictures sample employee write up for insubordination insubordinate behavior:

![20+ Employee Write Up Form Free Download [PDF + Word]](https://i0.wp.com/thebesthomeschoolguide.com/wp-content/uploads/2018/12/Employee-Write-Up-Form-02.jpg)




